相对电容率与介电常数(相对电容率计算公式)
相对电容率与介电常数(相对电容率计算公式)
相对电容率与介电常数之比。在这里,我们可以看到,电容率越大,介电常数越小,这就是所谓的介电常数的概念。而介电常数的大小,是决定材料性能的重要因素素,它直接影响到材料的电性能。因此,在选择材料时,应注意材料的介电常数。那么,什么是介电常数呢?下面我们一起来了解一下。介电常常数是衡量材料电性能的重要指标,它的大小决定了材料的导电性能。一般来说,介电常数越大,材料的导电性能越好。

在人类建立的体系下,光在真空中的传播速度将近每秒30万公里。至于为什么光速是这个数值,而不是诸如每秒35万公里或者每秒15万公里,其原因与我们所生活的宇宙属性有关。
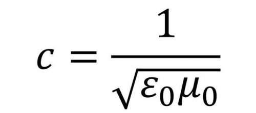
根据麦克斯韦的电磁场方程组可以推导出如下的真空光速(c)公式:

上式中,ε0表示真空介电常数(或称真空电容率),μ0表示真空磁导率。
无论是真空介电常数,还是真空磁导率,它们都是恒定的常数,都与真空的属性有关,它们决定了真空中的光速大小。在我们的宇宙中,真空的属性使得真空光速约为30万公里/秒,而不是其他数值,也不是无限快。
由于不同介质中的介电常数和磁导率是不一样的,所以光在不同介质中的传播速度是不同的。在真空中,光的传播速度最快,目前已被定义为精确的数值:299792458米/秒。
从上述光速公式中还可以看到,真空光速的大小不会随着参照系的变化而发生改变。无论观测者所处参照系具有怎样的运动方式,他所测出的光速都是保持恒定的,这是光速不变原理的理论依据。光速绝对不变,时空随着参照系发生相对变化,爱因斯坦的狭义相对论改变了我们对宇宙的认识。
宇宙中的常数都有各自的数值,这是我们宇宙的属性,宇宙正是基于这些常数而存在的。如果宇宙常数不是这样,我们现在所知的宇宙可能就不会存在。但在理论上,或许会有平行宇宙存在,它们的各种常数与我们的宇宙不一样,甚至物理学定律也是不同的。
-
- 索尼psp价格,索尼官方出品的psp
-
2023-11-07 02:10:29
-
- 普通话排行等级(普通话排行甲级乙级)
-
2023-11-07 02:08:14
-
- 寒食节是为了纪念谁(寒食节的由来)
-
2023-11-07 02:05:59
-
- 关于感恩的诗歌朗诵稿(关于感恩的诗歌简短)
-
2023-11-07 02:03:44
-
- 《闪灵悍将》上映25周年纪念!高傲的漫画家,让炼狱在人间重现
-
2023-11-06 21:22:54
-
- 《非常完美》男嘉宾!有人拒天王嫂告白后出轨,有人成吴谨言男友
-
2023-11-06 21:20:39
-
- 屋塔房王世子大结局解析(《屋塔房王世子》结局)
-
2023-11-06 21:18:24
-
- 《第三类法庭》播出28年,剧中演员境况不一,小配角逆袭成影帝
-
2023-11-06 21:16:08
-
- 《解救吾先生》只还原70%,回顾真实“吴若甫绑架案”细节
-
2023-11-06 21:13:53
-
- 《地狱犬》电影解说文案
-
2023-11-06 21:11:38
-
- 朱胜忠真实结局是什么(朱胜忠真实结局是什么样的)
-
2023-11-06 21:09:23
-
- 《星际穿越》电影剧情解析及解读-故事背景设定篇(一)
-
2023-11-06 21:07:08
-
- 《杀生》黄渤演技的巅峰之作,剧情全尺度,穿透人性的黑暗
-
2023-11-06 21:04:52
-
- 《夜半歌声》:张国荣十年佳作,一部被低估的爱情文艺片
-
2023-11-06 21:02:37
-
- 男人突然不理你是在欲擒故纵吗 男人态度忽冷忽热原因
-
2023-11-06 17:51:09
-
- 做男科检查一般要多少钱(做男科检查前一天能不能同房)
-
2023-11-06 17:48:54
-
- 张杰好听的歌曲有哪些?张杰好听的歌曲排行
-
2023-11-06 17:46:39
-
- 一磅是多少斤
-
2023-11-06 17:44:24
-
- 西安汽车站在哪块(西安汽车站在哪个地铁口)
-
2023-11-06 17:42:09
-
- 石家庄碧海云天假日酒店 石家庄碧海云天事件
-
2023-11-06 17:39:54



3-5分钟人性短片(山下的女人是老虎)
杨钰莹现在老公(杨钰莹现在老公的婚照)