蝴蝶定理之六
蝴蝶定理之六
前面两篇文章写了切割线蝴蝶定理有关的问题,本篇继续写与其有关的几个问题:
1、如图,四边形ABCD中AB、CD交于E,AD、BC交于F,AC、BD交于G,G关于AB、CD的对称点分别为G’、G’’, G’G’’交EF于H。

(2008年叶中豪老师推广得到的优美结论)

思路分析1:发现本结论似乎与切割线蝴蝶定理有关,再用调和性质即可证明了本结论。

分析证明1:如上图,由对称知G、 G’、G’’在以E为圆心EG为半径的圆上,做出此圆。连诸线,对四边形K G’’G G’,
由切割线蝴蝶定理逆定理,

只需GIKL为平行四边形。
需证GI//KL,即证GI//BE。
由G、 G’’对称知JI=JG。

从而消去各点,将结论转化为上图中,若JI=JG则GI//BE。
如果你对完全四边形和调和点列(或交比)比较熟悉(A,C;G,M构成调和点列),
则本结论显然成立——当且仅当JI=JG时GI//BE。
当然不用射影几何而用梅涅劳斯(Menelaus)定理和塞瓦(Ceva)定理也不难证明。
证明如下:

思路2:想到完全四边形对角线互相调和分割,则有调和线束和调和点列,欲证垂直,只需证内角平分线即可。

证法2:由完全四边形对角线互相调和分割,
对完全四边形ABCDEF,有A,C;G,K为调和点列,
从而EA,EC;EG,EF为调和线束,
由交比不变性,得N,P;Q,H为调和点列。
又由对称得,
∠NGE=∠NG'E=∠NG''E=∠PGE;
故GH为∠NGP外角平分线,
从而EG⊥GH;

思路3:看到两个对称,想到第三个对称,从而只需证明GG’TG’’为调和四边形,由A,C;G,K为调和点列及对称,倒角即得。
证法3:设G关于EF对称点为T,
同证法2知A,C;G,K为调和点列,
从而EA,EC;EG,EF为调和线束,
又由对称及圆周角为圆心角一半得,
∠G'GT=180°-∠AEF,
∠G'TG''=∠AEG,
∠GG'G''=∠GEC,
∠TGG''=∠CEF,
从而他们对应正弦值相等,
则GG'TG''为调和四边形,
故HG、HT为圆的切线,
即EG⊥GH;
1)证法1是本人当时想到的解法,为了解决本题,我们联系熟悉的切割线蝴蝶定理,反复利用我们熟悉的结论将其简化为普通的结论从而一举获证。当然如果你的积累越多理解的越深刻就越容易找到思路、水到渠成。
2)证法2是当时叶中豪老师让田廷彦看此题,田廷彦老师给出的解答,巧妙利用调和的性质令人叹为观止。
3)证法3是本人类比下一道题的一种证明得到的,这里先埋个伏笔,下文再给大家详细分析。
4)本题图形简洁,构图自然,结论隽永,令人拍案叫绝、叹为观止。证明却颇为不易。上述三种证法分别从切割线蝴蝶定理、调和线束、调和四边形入手,最终殊途同归、百川汇海,都归结为完全四边形对角线互相调和分割。所以说本题的本质和蝴蝶定理相同,都是完全四边形的调和性质。
此题一直深深的印入我的脑海,去年我又发现了一个似乎与其相关的问题。

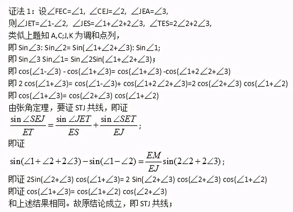
2、如图,已知完全四边形ABCDEF中,AC交BD于J,JM⊥EF,M关于AB、CD对称点为S、T,求证:STJ共线
(万喜几何练习题目 2017年6月4日公布 作者 万喜人)
思路1:此直线很难描述,希望消去它,从而想到用张角定理[1],由对称可以将线段和角度转化到完全四边形ABCDEF中。下面只要利用完全四边形对角线互相调和分割就能得到一个等式,应该就是需要证明的结果。


思路2:看到两个对称,想到第三个对称,同上题思路3,只需证明SUTM为调和四边形,由A,C;J,K为调和点列及对称即得。

证法2:设各角记号同证法1,M关于EJ对称点为U,显然SUTM共圆;
又MS⊥EA, MU⊥EJ, MT⊥ED,则∠TSM=∠1, ∠UMT=∠2, ∠SMU=∠3,
∠STM=180°-(∠1+∠2+∠3),
类似证法1由调和点列得Sin∠3 Sin∠1= Sin∠2Sin(∠1+∠2+∠3)
由正弦定理得SU*TM=SM*UT,即SMTU为调和四边形;
而JM、JU为圆的切线,从而STJ共线;
思路3:考虑用西姆松定理[1]证明共线,过三点做垂线得到一个三角形。后面利用调和性质得到等线段及共圆即可。

注:
1)证法1是我的想法,基本思路还是消点,最后转化到完全四边形的基本性质中,应该就是瓮中捉鳖、手到擒来了。
2)证法2是金春来老师的,他慧眼独具,想到了转化为调和四边形解决问题。不愧为“交比哥”的称号。显而易见,上题的证法3即是类比他的证明得到的。
3)证法3是万喜人老师提供的原始解答,他另辟蹊径,联想到西姆松定理从而得到证明。
4)上述三种证明各有千秋,但是异曲同工、貌离神合、同气连枝,本质都是利用调和性质完成的证明。当然本题应该还有其他的证明方法。
做完此题以后,我自然想到了上题,他们都是利用完全四边形对角线互相调和分割证明的。所以应该有本质的联系,经过一段时间的探索,我发现上述两个问题本质上是一致的,都可以归结为同一个结论:过E的调和线束E(F,J;C,B),中一条直线(例如EF)上点M,关于另一对直线EB,EC对称点T,S,的连线与此直线对应直线EJ的交点为N,则MN与原直线垂直。

3、已知:如上图,完全四边形ABCDEF中,EF上点M关于AB、CD对称点为S、T,ST交EJ于N;
求证:NM⊥EF;
思路分析:类比第1题证法2,利用对称和调和性质即得。
证明:设ST交AB、CD于P、O,由对称得∠1=∠2=∠3=∠4,
又E(F,J;C,B)为调和线束,
故S,N;P,O为调和点列,故NM⊥EF

注:显然当M、J重合时,本结论即为第1题。当N、J重合时,本结论即为第2题。这样我们就把上述两题完美的提炼成了一道题,不难想象他们的所有证明应该都是可行的,这样综合上面两道题,我们对此题应该找到了五种证法。当然归根结底,此题的本质还是调和。进一步,本题还能再继续衍生出不少精妙的结论,有兴趣的读者可以自行探讨。
-
- 广东第一毒村-博社村覆灭记
-
2024-11-18 03:59:21
-
- 亚洲各国国旗欣赏
-
2024-11-18 03:57:06
-
- 侯耀文公开霸气护徒:我是郭德纲唯一的师父,谁也别想欺负他
-
2024-11-18 03:54:52
-
- 怀旧服战士全面攻略
-
2024-11-18 03:52:37
-
- 《创造101》女团成立!孟美岐C位出道,杨超越sunnee等人成团
-
2024-11-18 01:57:41
-
- 《夸世纪》主演出席活动 李佳芯龚嘉欣谭凯琪麦明诗同台比美
-
2024-11-18 01:55:26
-
- 《海贼王》完结时间揭晓:只需8个月?网友纷纷表示不信!
-
2024-11-18 01:53:12
-
- 《猎毒人》楚莹深爱吕云鹏,为他做任何事,吕云鹏却只是利用她!
-
2024-11-18 01:50:57
-
- 《盗墓笔记》中的禁婆到底是什么?现实中真的有吗?
-
2024-11-18 01:48:42
-
- 《刀剑神域》爱丽丝图享
-
2024-11-18 01:46:28
-
- 《奔跑吧》收官,姚译添:“7季6年的青春再见了”虽告别去向已定
-
2024-11-18 01:44:13
-
- 《如懿传》之中的白蕊姬虽然太坏,可扮相却清丽婉约惹人怜
-
2024-11-18 01:41:58
-
- 《青春有你》练习生陈思键撞脸易烊千玺?刻意蹭热度还是偶然?
-
2024-11-18 01:39:43
-
- 《海贼王》漫画871话更新:危机四起!两位王者强强对决,路飞变身四挡硬刚大
-
2024-11-18 01:37:29
-
- 曾经月销过万的科沃兹,为何如今很少听闻了?
-
2024-11-17 23:50:06
-
- D3266次列车运行线路图:福建福州开往湖北武汉,全程880公里
-
2024-11-17 23:47:51
-
- 重庆导航又火了是否就此退出导航呢?
-
2024-11-17 23:45:37
-
- 什么是觉悟?
-
2024-11-17 19:19:21
-
- 深圳发展历史及地名的由来
-
2024-11-17 19:17:06
-
- 每日三句经典英语 - 越努力越幸运
-
2024-11-17 19:14:52



3-5分钟人性短片(山下的女人是老虎)
杨钰莹现在老公(杨钰莹现在老公的婚照)