服务器和机柜尺寸对照表(服务器机柜的U规格常见参数)
服务器和机柜尺寸对照表(服务器机柜的U规格常见参数)
服务器机柜的U规格常见参数
服务器租用托管中,有服务器尺寸1U 。其实U是一种表示服务器外部尺寸的单位,是unit的缩略语,详细尺寸由作为业界团体的美国电子工业协会(EIA)决定。
厚度以4.445cm为基本单位。1U就是4.445cm,2U则是1U的2倍为8.89cm。也就是说所谓“1U的PC服务器”,就是外形满足EIA规格、厚度为4.445cm的产品。设计为能放置到19英寸机柜的产品一般被称为机架服务器。

服务机柜

服务器机柜
服务器机柜
就由曾在石油公司机房和在艾特互联IDC公司工作过的网络安全、服务器运维管理部小编给大家来具体的讲解一下关于放置服务器的机柜的一些知识。为什么规定服务器的尺寸,是为了使服务器保持适当的尺寸以便放在铁质或铝质的机架上。机架上有固定服务器的螺孔,以便它能与服务器的螺孔对上号,再用螺丝加以固定好,以方便安装每一部服务器所需要的空间。
一般机房标准使用的机柜均为42U机柜。(企业、政府、数据服务中心)
1U=4.445*1=4.445厘米
2U=4.445*2=8.89厘米
3U=4.445*3=13.335厘米
4U=4.445*4=17.78厘米
8U=4.445*8=35.56厘米
12U=4.445*12=53.34厘米
16U=4.445*16=71.12厘米
20U=4.445*20=88.9厘米
24U=4.445*24=106.68厘米
28U=4.445*28=124.46厘米
32U=4.445*32=142.24厘米
36U=4.445*36=160.02厘米
40U=4.445*40=177.8厘米
42U=4.445*42=186.69厘米
以此类推

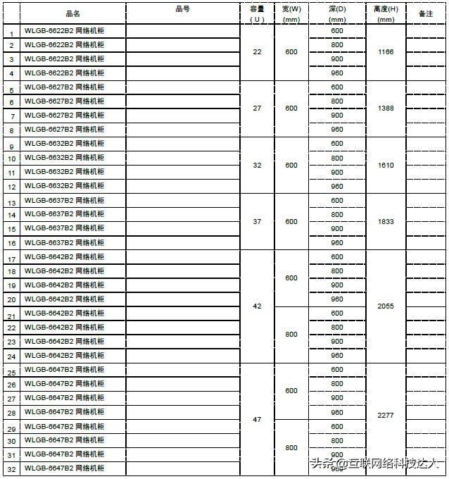
22 27 32 37 42 47U机柜参数

42U机柜参数
42U机柜一般的分类是:
按宽度分:600mm和800mm宽的42U机柜,深度有600mm,800mm,900mm,960mm,1000mm,1100mm,1200mm等
按实际需求分:除实际使用尺寸是42U之外,宽度和深度可以按照实际需求定制。
规定的尺寸是服务器的宽(48.26cm(19英寸))与高(1.75英寸(4.445cm)的倍数)。由于宽为19英寸,所以有时也将满足这一规定的机架称为“19英寸机架”。厚度以4.445cm为基本单位。1U就是4.445cm,2U则是1U的2倍为8.89cm。
所谓“1U的PC服务器”,就是外形满足EIA规格、厚度为4.445cm的产品。设计为能放置到19英寸机柜的产品一般被称为机架服务器。
,
-
- 分手后永远不要回头(分手后到底要不要回头)
-
2023-07-26 17:28:01
-
- 干锅牛蛙的14种做法大全(教你做鲜嫩多汁的干锅牛蛙)
-
2023-07-26 17:25:46
-
- 坟地的风水(坟地的风水解释)
-
2023-07-26 17:23:31
-
- 凤仙花的种植方法要求(凤仙花的栽培技巧)
-
2023-07-26 17:21:16
-
- 科普何谓工业大麻(科普何谓工业大麻)
-
2023-07-26 17:19:01
-
- 房屋拆迁流程及规定(房屋拆迁需要满足哪些条件)
-
2023-07-26 17:16:46
-
- 肝脏正确位置图(详细讲解肝脏位置)
-
2023-07-26 13:58:47
-
- 科目二考试详细步骤(科目二考试有什么步骤)
-
2023-07-26 13:56:32
-
- 翡翠原石专业知识教程(学会这样看翡翠原石你就不在是小白)
-
2023-07-26 13:54:17
-
- 科目四安全驾驶基础知识(科目四安全文明常识考试满分经验分享)
-
2023-07-26 13:52:02
-
- 3天辟谷减肥亲身感受(95后美女辟谷日记)
-
2023-07-26 13:49:47
-
- 翡翠原石玻璃种(你知道翡翠原石玻璃种吗)
-
2023-07-26 13:47:32
-
- 高考落榜生能上什么学校(高考落榜后自费上大学)
-
2023-07-26 13:45:17
-
- 费德勒退役赛阵容(三巨头时代结束)
-
2023-07-26 13:43:02
-
- 粉尘爆炸到底有多严重(一张图了解粉尘爆炸的危害性)
-
2023-07-26 13:40:47
-
- 肝脏不好有六种表现(肝脏不好会有哪些外在表现)
-
2023-07-26 13:38:32
-
- 肤如雪美白祛斑后遗症:不知怎么去除色斑
-
2023-07-26 10:21:41
-
- 房玄龄吃醋典故(吃醋的典故)
-
2023-07-26 10:19:26
-
- 3-5分钟人性短片(山下的女人是老虎)
-
2023-07-26 10:17:11
-
- 肝不好怎么养肝护肝(六大方法让肝更健康)
-
2023-07-26 10:14:57



长沙医学院学生遇难事件原因(长沙医学院学生遇难名单)
周杰林心如舌吻事件是怎么回事 周杰强吻林心如了吗