二项式定理常见的十大题型汇总——360°全方位,无死角
二项式定理常见的十大题型汇总——360°全方位,无死角


二项式基础知识汇总




题型一
二项式定理的逆用

1 题型二
利用通项公式求xn的系数

2 题型三
利用通项公式求常数项

3 题型四
利用通项公式确定有理数项

4 题型五
奇数项的二项式系数和与偶数项相等

5 题型六
最大系数和最大项


6 题型七
含有三项变两项

7 题型八
两个二项式相乘

8 题型九
奇数项的系数和与偶数项的系数和

9 题型十
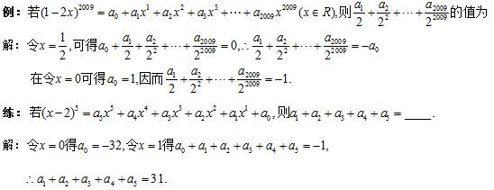
赋值法


10



相关标签:
-
- 浙江28岁空少月薪1万5,1年隔离210天决定裸辞,揭秘空乘工作内幕
-
2025-12-17 05:29:31
-
- 赵丽颖的瘦身秘诀大揭秘:健康饮食与锻炼的神奇力量
-
2025-12-17 05:27:16
-
- 揭秘中国表情包大国:死亡微笑的新兴文化象征
-
2025-12-16 21:11:52
-
- 河南省信阳市十大著名景区,你去过几个?
-
2025-12-16 21:09:37
-
- 十五届「中国东海水晶节」大集合,看看你都参加过哪几届?
-
2025-12-16 21:07:22
-
- 中国五大战区到底有多强?揭秘五大战区,你知道多少?
-
2025-12-16 21:05:07
-
- 揭秘道教孟婆:一碗汤背后的生死轮回与文化密码
-
2025-12-16 21:02:52
-
- 对越反击战:许世友与杨得志,东西线指挥风格大揭秘
-
2025-12-16 21:00:37
-
- 苏永康,你们还记得吗?揭秘苏永康的“风流”与“豪横”…
-
2025-12-16 20:58:22
-
- 陈百祥,陈百强,不是亲兄弟吧?揭秘陈百祥的“风流”与“豪横”
-
2025-12-16 20:56:07
-
- 《水浒传》梁山水泊108好汉中武功前十的十大高手
-
2025-12-16 20:53:52
-
- 揭秘 | 军方背景的保利集团就是这样发展的
-
2025-12-16 20:51:37
-
- 世界上最大的国中国是谁?为什么没有被吞并?
-
2025-12-10 19:10:15
-
- 2022世界足坛身价最高的10位球星,你知道几位?
-
2025-12-10 19:07:59
-
- 世界上最有钱的十大家族!个个富得流油,传承数百年,你知道哪些
-
2025-12-10 19:05:45
-
- 世界上智商最高的7种动物,你以为人类就是最聪明的动物了吗?
-
2025-12-10 19:03:29
-
- 打假:“ETF拯救世界”吹过了!其组合的垃圾业绩是最好的证据
-
2025-12-10 19:01:15
-
- 世界上10个最古老的国家,中国居然只排第五
-
2025-12-10 18:59:00
-
- 【世界母乳喂养周系列活动】母乳是新生儿最好的礼物
-
2025-12-10 18:56:45
-
- 文旅融合丨让世界向往太行——探寻长治壶关“中国最美山庄”的破圈密码
-
2025-12-10 18:54:30



中国发现最大的蛇,在2000年的四川出现五十米巨蟒
中国十大土豪身价(中国十大土豪身价排名)